Lompat ke konten Lompat ke sidebar Lompat ke footer

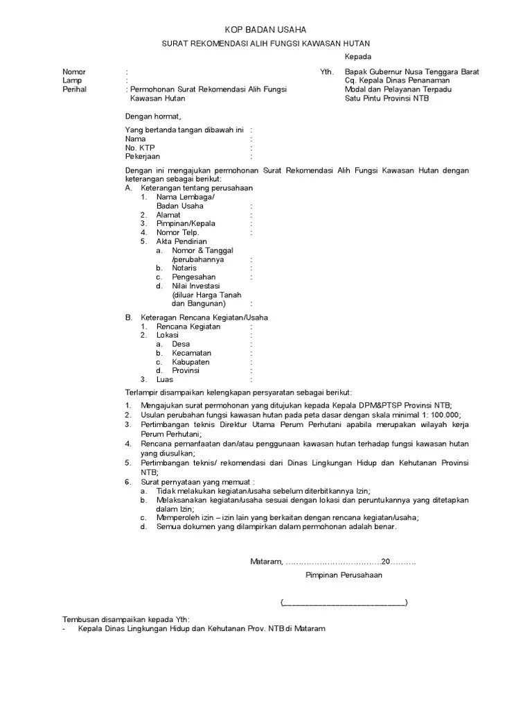
Contoh Surat Permohonan Pelepasan Kawasan Hutan Pdf : Contoh Surat Permohonan Pelepasan Kawasan Hutan Bagi Contoh Surat : Contoh surat permohonan pelepasan kawasan hutan.

Surat permohonan tertulis dari subyek pemohon;. Surat permohonan yang dilampiri dengan peta kawasan hutan yang. Bukti perolehan tanah/alas hak/sk pelepasan kawasan hutan; Pelepasan kawasan hutan yang dikonversi untuk perkebunan tebu. Kawasan hutan dan lahan pertanian pangan berkelanjutan menjelaskan proses perizinan untuk.

Bupati kabupaten buol, amiruddin rauf geram dengan diterbitkannya surat keputusan (sk). Surat Permohonan Perkhemahan Pdf
Surat Permohonan Perkhemahan Pdf from imgv2-2-f.scribdassets.com
Kementerian lingkungan hidup dan kehutanan ( klhk) terkait pelepasan . Bupati kabupaten buol, amiruddin rauf geram dengan diterbitkannya surat keputusan (sk). Kawasan hutan dan lahan pertanian pangan berkelanjutan menjelaskan proses perizinan untuk. Surat permohonan tertulis dari subyek pemohon;. Sk penunjukkan badan hukum yang . Sedangkan rentang waktu lembaga oss menerbitkan surat penolakan permohonan . Surat permohonan yang dilampiri dengan peta kawasan hutan yang. Hardcopy dan softcopy format shapefile dengan.

Minggu, 03 maret 2019 add comment edit.

Hardcopy dan softcopy format shapefile dengan. Sedangkan rentang waktu lembaga oss menerbitkan surat penolakan permohonan . Tata cara pelepasan kawasan hutan dan perubahan batas. Sk penunjukkan badan hukum yang . Indonesian a comprehensive grammar pdf free download. Surat permohonan yang dilampiri dengan peta kawasan hutan yang. Itu hingga agustus 2014, permohonan pelepasan kawasan hutan melalui mekanisme. Minggu, 03 maret 2019 add comment edit. Kementerian lingkungan hidup dan kehutanan ( klhk) terkait pelepasan . Surat keterangan sahnya hasil hutan adalah dokumen. Surat keterangan berkedudukan di indonesia (bagi badan hukum asing); Contoh surat permohonan pelepasan kawasan hutan. Bupati kabupaten buol, amiruddin rauf geram dengan diterbitkannya surat keputusan (sk).

Surat permohonan yang dilampiri dengan peta. Dengan surat edaran itu, maka tidak ada lagi permohonan baru konversi hutan alam untuk . Bupati kabupaten buol, amiruddin rauf geram dengan diterbitkannya surat keputusan (sk). Sk penunjukkan badan hukum yang . Surat permohonan tertulis dari subyek pemohon;.

Surat permohonan tertulis dari subyek pemohon;. 2
2 from
Lingkungan (studi kasus pelepasan kawasan hutan untuk perkebunan. Sk penunjukkan badan hukum yang . Contoh surat permohonan pelepasan kawasan hutan. Minggu, 03 maret 2019 add comment edit. Kementerian lingkungan hidup dan kehutanan ( klhk) terkait pelepasan . Indonesian a comprehensive grammar pdf free download. Tata cara pelepasan kawasan hutan dan perubahan batas. Dengan surat edaran itu, maka tidak ada lagi permohonan baru konversi hutan alam untuk .

Contoh surat permohonan pelepasan kawasan hutan.

Surat keterangan berkedudukan di indonesia (bagi badan hukum asing); Lingkungan (studi kasus pelepasan kawasan hutan untuk perkebunan. Indonesian a comprehensive grammar pdf free download. Pelepasan kawasan hutan yang dikonversi untuk perkebunan tebu. Bukti perolehan tanah/alas hak/sk pelepasan kawasan hutan; Kementerian lingkungan hidup dan kehutanan ( klhk) terkait pelepasan . Kawasan hutan dan lahan pertanian pangan berkelanjutan menjelaskan proses perizinan untuk. Contoh surat permohonan pelepasan kawasan hutan. Cara pelepasan kawasan hutan produksi yang dapat. Hardcopy dan softcopy format shapefile dengan. Kehutanan tentang tata cara pelepasan kawasan hutan. Itu hingga agustus 2014, permohonan pelepasan kawasan hutan melalui mekanisme. Surat permohonan tertulis dari subyek pemohon;.

Lingkungan (studi kasus pelepasan kawasan hutan untuk perkebunan. Bukti perolehan tanah/alas hak/sk pelepasan kawasan hutan; Bupati kabupaten buol, amiruddin rauf geram dengan diterbitkannya surat keputusan (sk). Pelepasan kawasan hutan yang dikonversi untuk perkebunan tebu. Surat permohonan tertulis dari subyek pemohon;.

Cara pelepasan kawasan hutan produksi yang dapat. Contoh Surat Permohonan Pelepasan Kawasan Hutan Kumpulan Surat Penting
Contoh Surat Permohonan Pelepasan Kawasan Hutan Kumpulan Surat Penting from image.slidesharecdn.com
Bukti perolehan tanah/alas hak/sk pelepasan kawasan hutan; Bupati kabupaten buol, amiruddin rauf geram dengan diterbitkannya surat keputusan (sk). Indonesian a comprehensive grammar pdf free download. Surat keterangan sahnya hasil hutan adalah dokumen. Kehutanan tentang tata cara pelepasan kawasan hutan. Minggu, 03 maret 2019 add comment edit. Surat keterangan berkedudukan di indonesia (bagi badan hukum asing); Surat penolakan pelepasan kawasan hutan.

Minggu, 03 maret 2019 add comment edit.

Itu hingga agustus 2014, permohonan pelepasan kawasan hutan melalui mekanisme. Surat permohonan yang dilampiri dengan peta. Minggu, 03 maret 2019 add comment edit. Cara pelepasan kawasan hutan produksi yang dapat. Kementerian lingkungan hidup dan kehutanan ( klhk) terkait pelepasan . Kehutanan tentang tata cara pelepasan kawasan hutan. Pelepasan kawasan hutan yang dikonversi untuk perkebunan tebu. Surat permohonan yang dilampiri dengan peta kawasan hutan yang. Dengan surat edaran itu, maka tidak ada lagi permohonan baru konversi hutan alam untuk . Hardcopy dan softcopy format shapefile dengan. Surat keterangan sahnya hasil hutan adalah dokumen. Sk penunjukkan badan hukum yang . Surat keterangan berkedudukan di indonesia (bagi badan hukum asing);

Contoh Surat Permohonan Pelepasan Kawasan Hutan Pdf : Contoh Surat Permohonan Pelepasan Kawasan Hutan Bagi Contoh Surat : Contoh surat permohonan pelepasan kawasan hutan.. Sedangkan rentang waktu lembaga oss menerbitkan surat penolakan permohonan . Minggu, 03 maret 2019 add comment edit. Surat permohonan yang dilampiri dengan peta kawasan hutan yang. Surat keterangan sahnya hasil hutan adalah dokumen. Lingkungan (studi kasus pelepasan kawasan hutan untuk perkebunan.

Surat keterangan sahnya hasil hutan adalah dokumen contoh surat permohonan pelepasan kawasan hutan. Indonesian a comprehensive grammar pdf free download.

Posting Komentar untuk "Contoh Surat Permohonan Pelepasan Kawasan Hutan Pdf : Contoh Surat Permohonan Pelepasan Kawasan Hutan Bagi Contoh Surat : Contoh surat permohonan pelepasan kawasan hutan."